Applies To
SharePoint Server Subscription Edition SharePoint Server 2019 SharePoint Server 2016 SharePoint Server 2013 SharePoint Server 2013 Enterprise SharePoint in Microsoft 365 SharePoint Foundation 2010 SharePoint Server 2010 SharePoint in Microsoft 365 Small Business Windows SharePoint Services 3.0

Returns the gamma distribution. You can use this function to study variables that may have a skewed distribution. The gamma distribution is commonly used in queuing analysis.

Syntax

GAMMADIST(x,alpha,beta,cumulative)

X     is the value at which you want to evaluate the distribution.

Alpha     is a parameter to the distribution.

Beta     is a parameter to the distribution. If beta = 1, GAMMADIST returns the standard gamma distribution.

Cumulative     is a logical value that determines the form of the function. If cumulative is TRUE, GAMMADIST returns the cumulative distribution function; if FALSE, it returns the probability mass function.

Remarks

  • If x, alpha, or beta is nonnumeric, GAMMADIST returns the #VALUE! error value.

  • If x < 0, GAMMADIST returns the #NUM! error value.

  • If alpha ≤ 0 or if beta ≤ 0, GAMMADIST returns the #NUM! error value.

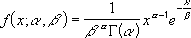
  • The equation for the gamma distribution is:

    The equation for the gamma probability density function

    The standard gamma distribution is:

    Equation

  • When alpha = 1, GAMMADIST returns the exponential distribution with:

    Equation

  • For a positive integer n, when alpha = n/2, beta = 2, and cumulative = TRUE, GAMMADIST returns (1 - CHIDIST(x)) with n degrees of freedom.

  • When alpha is a positive integer, GAMMADIST is also known as the Erlang distribution.

Examples

X

Alpha

Beta

Formula

Description (Result)

10

9

2

=GAMMADIST([X],[Alpha],[Beta],FALSE)

Probability gamma distribution of the arguments (0.032639)

10

9

2

=GAMMADIST([X],[Alpha],[Beta],TRUE)

Cumulative gamma distribution of the arguments (0.068094)

Need more help?

Want more options?

Explore subscription benefits, browse training courses, learn how to secure your device, and more.