Applies To
SharePoint Server Subscription Edition SharePoint Server 2019 SharePoint Server 2016 SharePoint Server 2013 SharePoint Server 2013 Enterprise SharePoint in Microsoft 365 SharePoint Foundation 2010 SharePoint Server 2010 SharePoint in Microsoft 365 Small Business Windows SharePoint Services 3.0

Estimates variance based on a sample.

Syntax

VAR(number1,number2,...)

Number1,number2,...     are 1 to 30 number arguments corresponding to a sample of a population.

Remarks

  • VAR assumes that its arguments are a sample of the population. If your data represents the entire population, then compute the variance using VARP.

  • Logical values, such as TRUE and FALSE, and text are ignored. If logical values and text must not be ignored, use the VARA function.

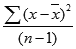
  • VAR uses the following formula:

    Formula

Example

Suppose 10 tools stamped from the same machine during a production run are collected as a random sample and measured for breaking strength.

St1

St2

St3

St4

St5

St6

St7

St8

St9

St10

Formula

Description (Result)

1345

1301

1368

1322

1310

1370

1318

1350

1303

1299

=VAR([St1], [St2], [St3], [St4], [St5], [St6], [St7], [St8], [St9], [St10])

Variance for the breaking strength of the tools (754.2666667)

Need more help?

Want more options?

Explore subscription benefits, browse training courses, learn how to secure your device, and more.